(School of Mathematics and Statistics,North China University of Water Resources and Electric Power,Zhengzhou 450046,China)
stochastic external force; moist atmosphere equations; global weak solution; existence; stability
DOI: 10.6043/j.issn.0438-0479.202101023
备注
在地形坐标下,研究了考虑随机外强迫作用的湿大气方程组初边值弱解问题的适定性问题.利用能量估计方法,并克服了随机外强迫所带来的研究困难,从而证明了方程组整体弱解的存在性.又在假设整体弱解序列满足一定条件时,证明了整体弱解的L1稳定性以及几乎处处稳定性等.
Well-posedness of weak solutions to initial boundary value problems for moist atmosphere equations with stochastic external forces are studied in topographic coordinates.Overcoming the difficulty caused by the random external forcing,we obtain the existence of global weak solutions to the system by using the energy-estimation method.Moreover,the L1-stability and almost everywhere stability of the global weak solution are proved when the initial data satisfies certain conditions.
引言
1 预备知识
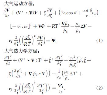
本文研究了曾庆存院士[1]提出的湿大气动力学方程组,证明了随机外强迫作用下湿大气动力学方程组初边值问题整体弱解的存在性和稳定性. 下面首先介绍湿大气方程组的初边值问题. 引入地形坐标系(θ,λ,ζ; t),θ是余纬且θ∈[0,π],λ是经度且λ∈[0,2π],p是气压且p∈[0,ps],ps为地表处气压,ζ=p/ps∈[0,1],t表示时间. 那么,考虑如下随机外强迫作用的湿大气方程组.


其中,Co,Cp,R是热力学常数,ui,vi(i=1,2,3)是耗散系数,g是重力加速度,w是地球自转角速度,Ψ1表示单位时间内大气从外界获得的热量,Ψ2表示水汽相变过程中液态水的变化量.
该方程组的状态变量为水平速度场V、气压变化率ζ ·、温度偏差量T'、比湿q、重力位势偏差量Φ'、地表气压偏差量p's.T ~(ζ)为给定的参考标准温度,且满足T ~(ζ),T ~-1(ζ)∈W1,∞(0,1),T ~(ζ)>0,T ~(ζ)=O(ζ); p ~s(θ,λ)为给定的参考标准地球表面气压,且满足p ~s(θ,λ),p ~s-1(θ,λ)∈W1,∞([0,π]×[0,2π]:=S).
(V*,ζ ·*)是修正的光滑速度场,定义V^-:=∫10V(θ,λ,ζ,t)dζ,采用
参考文献[2]中的方法,将p ~sV^-分解为p ~sV^-=Δχ+Δψ⊥,可得V*=V-p ~-1sΔχ=(v*θ,v*λ),ζ ·*=-p ~-1s∫ζ0Δ·(p ~sV*)ds,ds是地形坐标中垂直方向上一个微元,并且当ζ=1时,ζ ·*=0.
参考文献[3-4]中的方法,可给出随机外强迫的定义.在完备的概率空间(Ω,F,P)中,假设ω1,ω2,ω3,…是样本空间Ω中一列期望为E的独立标准的布朗运动,随机过程W是一个wiener过程,因此随机外强迫Ψ可定义如下:
Ψ=G(dW)/(dt)(6)
是关于时间的加性白噪声,而G是从(L2(Ω))2到(H1+2γ0(Ω))2(γ0>0)的Hilbert-Schmidt算子.假设
Z(t)=∫t-∞e-A1(t-s)GdW(s)(7)
是满足以下随机Stokes方程初值问题

的解,这里A1=-[(μ1)/(p ~s)Δ+ν1/(ζ)(((gζ)/(RT))2/(ζ))],是一个正Laplacian算子,且A1的定义域为D(A1)=H2(Ω)∩H10(Ω),参照文献[3-4], 类似可得Z(t)是具有连续轨道的平稳遍历过程, 值在D(A1+γ1)中,其中γ<γ0.
定义Ψ1为非绝热加热作用,Ψ2为水汽相变作用. 其余参数的含义可参见文献[1-2].
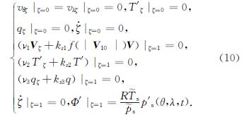
接下来,定义系统(1)~(5)的初边值条件. 首先,给定初值条件为
V|t=0=V0,T|t=0=T0, q|t=0=q0,(9)
再给出边界条件为

其中:所有关于θ的函数,均以π为周期; 所有关于λ的函数,均以2π为周期; ks1、ks2和ks3均为正常数; V10为给定函数,表示风速10 m/s,且满足V10,V-110∈L∞(S); T ~s(θ,λ)为给定函数,表示地球表面标准温度,且满足T ~s(θ,λ)∈W1,∞(S).关于初边值条件的物理意义可
参考文献[1,5].综合式(1)~(10),就得到了考虑随机外强迫作用的湿大气动力学方程组的初边值问题.
目前大气动力学方程组的适定性问题已经取得了很多重要成果. 例如,曾庆存[5]就曾系统地论述过多种大气模式解的适定性,并提出了海气耦合问题. 随后,文献[2,6-15]研究了基于原始方程的各种大气动力学方程组,并证明了方程组初边值问题整体弱解和强解的适定性.另外文献[16-20]还研究了考虑水汽相变过程的湿大气方程组初边值问题的适定性.关于研究大气方程组吸引子的结论,可参见文献[11-12,14-17,21-22].
目前对考虑随机因素的大气方程组也有一些重要的结论. 例如,文献[23-25]中建立了随机气候模式和考虑随机外强迫作用的海气耦合模式. 之后,Griffies等[26]和Majda等[27-30]又对考虑随机外强迫作用的气候模式进行了数学理论和数值计算方面的研究.郭柏灵等[3-4]还研究了考虑随机外强迫作用的海洋原始方程组的适定性以及整体吸引子的存在性等. 2018年,Dong等[31]研究了具有指数混合性质的三维随机原始方程的适定性,得到了所有的弱解都有同一个不变测度,以及强解不变测度的唯一性.
2 主要结论
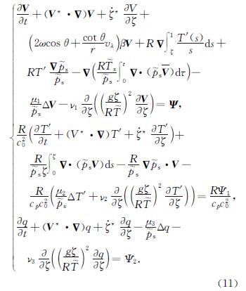
首先,利用式(4)和(5),结合边界条件,可将考虑随机外强迫作用的湿大气动力学方程组简化为如下形式:

定义未知函数U:=(V,T',q),进而给定初值为
U|t=0=(vθ,vλ,T',q)|t=0=(vθ0,vλ0,T'0,q0)=
U0,
边界条件为
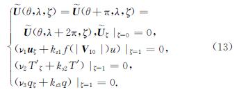
{U(θ,λ,ζ)=U(θ+π,λ,ζ)=U(θ,λ+2π,ζ),
Uζ|ζ=0=0,
(ν1Vζ+ks1f(∣V10∣)V)|ζ=1=0,
(ν2T'ζ+ks2T')|ζ=1=0,(ν3qζ+ks3q)|ζ=1=0.
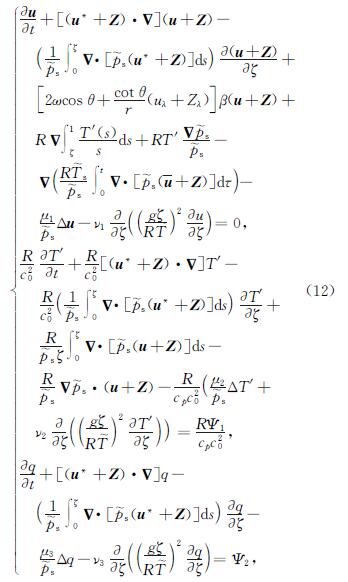
令u=V-Z(t),Z(t)是方程(8)的解,令U~:=(u,T',q),则系统(11)可化为以下以U~为未知量的新形式

系统(12)满足如下边界条件:

接下来定义如下算子:
B(U~):=[u,R/(c20)T',q]T,
F:=[0,R/(c20)Ψ1,Ψ2]T,
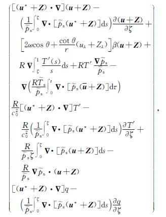
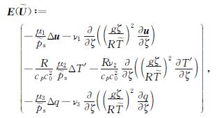
D(U~)(U~):=


下面可给出类似于文献[2]中弱解的定义.
定义1(弱解的定义)对于任意的M>0,如果随机过程U~(t,ω)=(u,T',q)满足U~∈L∞(0,M; L2(Ω))∩L2(0,M; H1(Ω)), 并且在分布意义下,下述方程成立,
B(U~)t+D(U~)(U~)+E(U~)=F,
即依概率对于几乎处处的ω∈Ω和任意试验函数φ=(φ1,φ2,φ3)∈C∞(0,M; C∞0(Ω)),使得
(B(U~0),φ(0,·))p ~s+∫M0(B(U~),φt)p ~sdt-
∫M0(b(U~,φ)+c(U~,φ)+e(U~,U~,φ)-
(F,φ)p ~s)dt=0,
其中,(·,·)表示在L2(Ω)上的内积,(·,·)p ~s:=(p ~s·,·),b(U~,φ)是耗散项在分布意义下得到的项,c(U~,φ)是边界项在分布意义下得到的项,e(U~,U~,φ)是其余项在分布意义下得到的项,则U~(t,ω)是系统(12)~(13)的弱解.
下面给出整体弱解的存在性和稳定性定理.
定理1(整体弱解的存在性)对于任意的M>0,设Ψ1,Ψ2∈L2(Ω×[0,M]),对于ω∈Ω,依概率几乎处处有Z∈L∞(R; H1(Ω))∩L2(R; H2(Ω))成立,且有U~0∈L2(Ω),f(s)是正实数域上的单增连续函数,有正常数C1、C2使得C1sα≤f(s)≤C2(1+sα),其中α∈[0,1),则系统(12)~(13)存在整体弱解U~,且满足
U~∈L∞(0,M; L2(Ω))∩L2(0,M; H1(Ω)).
定理2(弱解的稳定性)对任意的M>0,若f(s)、Z、Ψ1、Ψ2满足定理1中的条件,假设系统(12)~(13)的一个整体弱解序列为U~m=(um,T'm,qm), 并假定初值序列为U~m|t=0=(um,T'm,qm)|t=0=U~m0,再设U~m0→U~0∈L1(Ω),其中U~m,U~0∈L2(Ω),则存在子列,仍用U~m表示,有U~m→U~∈L1(0,T; L1(Ω)),这里U~是系统(12)~(13)以U~0为初值的弱解.
注:借鉴
参考文献[2]中注2.2的方法,利用叶果洛夫定理可证明整体弱解的几乎处处稳定性,这里省略了具体的证明过程.
3 能量估计
本部分给出系统(12)~(13)的能量估计.
引理1 在满足定理1的条件下,对任意的正数M,t∈[0,M],系统(12)~(13)的弱解U~满足以下能量不等式
‖U~‖2L2(Ω)+∫M0‖U~‖2H1(Ω)dt+
∫S(RT ~s)/(p ~s)(∫t0Δ·(p ~su^-)dτ)2dσ+
∫M0∫S(f(|V10|)|u|2+T'2+q2)|ζ=1dσdt≤
C(M).(14)
这里C(M)是与时间M有关的常数.
证明 令式(12)与(u,T',q)作内积,并利用边界条件得
1/2(d)/(dt)∫Ωp ~s(u2+R/(c20)T'2+q2)dσdζ+1/2(d)/(dt)∫S(RT ~s)/(p ~s)
[∫t0Δ·(p ~su^-)dτ]2dσ+∫Ω(μ1|Δu|2+
(μ2R)/(cpc20)|ΔT'|2+μ3|Δq|2)dσdζ+∫Ωp ~s
((gζ)/(RT ~))2(ν1|(u)/(ζ)|2+ν2|(T')/(ζ)|2+ν3|(q)/(ζ)|2)dσdζ+
∫Sp ~s((gζ)/(RT ~))2[f(|V10|)|u|2+T'2+
q2]|ζ=1dσ=I1+I2+I3+I4+I5+
R/(c20cp)∫Ωp ~sT'Ψ1dσdζ+∫Ωp ~sqΨ2dσdζ.
其中
I1=∫ΩR/(p ~s)Δp ~s·Z·(p ~sT')dσdζ-
∫ΩR/ζ∫ζ0Δ·(p ~sZ)ds·(p ~sT')dσdζ,
I2=-∫Ωp ~su·([(u*+Z)·Δ](u+Z)-
(1/(p ~s)∫ζ0Δ·[p ~s(u*+Z)]ds)((u+Z))/(ζ))dσdζ,
I3=-∫Ωp ~sT'([(u*+Z)·Δ]T'-
(1/(p ~s)∫ζ0Δ·[p ~s(u*+Z)]ds)(T')/(ζ))dσdζ,
I4=-∫Ωp ~sq([(u*+Z)·Δ]q-
(1/(p ~s)∫ζ0Δ·[p ~s(u*+Z)]ds)(q)/(ζ))dσdζ,
I5=-∫ΩΔ((RT ~s)/(p ~s)(∫t0∫10Δ·(p ~sZ)dζdτ))·
(p ~su)dσdζ-∫Ω(2ωcos θ+(cot θ)/γ(uλ+Zλ)
β(u+Z)·(p ~u)dσdζ.
由Hölder不等式和Young不等式可得
|I1|≤C‖Z‖L2(Ω)‖T'‖L2(Ω)+
C‖Z‖H1(Ω)‖T'‖L2(Ω)≤C‖T'‖2L2(Ω)+
C‖Z‖2H1(Ω),(15)
这里C表示某正常数,下同. 又因为
I2=-∫Ωp ~su·(u*·Δ)udσdζ-∫Ωp ~su·
(Z·Δ)udσdζ-∫Ωp ~su·(u*·Δ)Zdσdζ-
∫Ωp ~su·(Z·Δ)Zdσdζ+
∫Ωu·(∫ζ0Δ·(p ~su*)dsuζ)dσdζ+
∫Ωu·(∫ζ0Δ·(p ~sZ)dsuζ)dσdζ+
∫Ωu·(∫ζ0Δ·(p ~su*)dsZζ)dσdζ+
∫Ωu·(∫ζ0Δ·(p ~sZ)dsZζ)dσdζ,(16)
且有

又由Hölder不等式、插值不等式和Young不等式可得
|∫Ωp ~su·[(Z·Δ)u+(u*·Δ)Z+(Z·Δ)Z]dσdζ|≤
C‖u‖L4(Ω)‖Z‖L4(Ω)‖Δu‖L2(Ω)+
C‖u‖L4(Ω)‖u*‖L4(Ω)‖ΔZ‖L2(Ω)+
C‖u‖L4(Ω)‖Z‖L4(Ω)‖ΔZ‖L2(Ω)≤
C‖u‖</sup>1/4</sub>L2(Ω)‖u‖</sup>7/4</sub>H1(Ω)‖Z‖L4(Ω)+
C‖u‖</sup>1/2</sub>L2(Ω)‖u‖</sup>3/2</sub>H1(Ω)‖ΔZ‖L2(Ω)+
C‖u‖</sup>3/4</sub>H1(Ω)(‖Z‖L4(Ω)‖u‖</sup>1/4</sub>L2(Ω))‖ΔZ‖L2(Ω)≤
ε‖u‖2H1(Ω)+C(‖Z‖8L4(Ω)+
‖Z‖4H1(Ω))‖u‖2L2(Ω)+C‖Z‖2H1(Ω),(18)
这里ε是任意小的常数,下同. 另外由Hölder不等式、Minkowski不等式、插值不等式和Young不等式可得
|∫Ωu·(∫ζ0Δ·(p ~sZ)ds uζ)dσdζ|≤∫S[(∫10u2dζ)1/2
(∫10|Δ·(p ~sZ)|dζ)(∫10|uζ|2dζ)1/2]dσ≤
(∫S(∫10|Δ·(p ~sZ)|dζ)4dσ)1/4·
(∫S(∫10u2dζ)2dσ)1/4(∫S(∫10|uζ|2dζ)dσ)1/2≤
(∫10‖Δ(p ~sZ)‖L4(S)dζ)(∫10‖u‖2L4(S)dζ)1/2·
(∫10‖uζ‖2L2(S)dζ)1/2≤
C‖Z‖</sup>1/2</sub>H1(Ω)‖Z‖</sup>1/2</sub>H2(Ω)‖u‖</sup>3/2</sub>H1(Ω)‖u‖</sup>1/2</sub>L2(Ω)≤
ε‖u‖2H1(Ω)+C‖Z‖2H1(Ω)‖Z‖2H2(Ω)‖u‖2L2(Ω),(19)
同理可得
|∫Ωu·(∫ζ0Δ·(p ~su*)dsZζ)dσdζ|≤ε‖u‖2H1(Ω)+
C‖Z‖2H1(Ω)‖Z‖2H2(Ω)‖u‖2L2(Ω),(20)
|∫Ωu·(∫ζ0Δ·(p ~sZ)dsZζ)dσdζ|≤ε‖u‖2H1(Ω)+
C‖Z‖2H1(Ω)‖Z‖2H2(Ω)‖u‖2L2(Ω)+
C‖Z‖2H1(Ω),(21)
综合式(16)~(21)可得
|I2|≤C(‖Z‖8L4(Ω)+‖Z‖4H1(Ω))‖u‖2L2(Ω)+
C‖Z‖2H1(Ω)+C‖Z‖2H1(Ω)‖Z‖2H2(Ω)‖u‖2L2(Ω)+
ε‖u‖2H1(Ω).
由分部积分可得I3=0,I4=0, 进一步由Hölder不等式和Young不等式可得
|I5|≤ε‖Δu‖2L2(Ω)+C+C‖u‖2L2(Ω)+
C‖Z‖4H1(Ω)+C(M)∫t0‖Z‖2H1(Ω)dτ,
R/(c20cp)∫Ωp ~sT'Ψ1dσdζ+∫Ωp ~sqΨ2dσdζ≤
C‖T'‖2L2(Ω)+C‖Ψ1‖2L2(Ω)+C‖q‖2L2(Ω)+
C‖Ψ2‖2L2(Ω),
综上可得
1/2(d)/(dt)∫Ωp ~s(u2+R/(c20)T'2+q2)dσdζ+
1/2(d)/(dt)∫S(RT ~s)/(p ~s)(∫t0Δ·(p ~su^-)dτ)2dσ+
∫Ω(μ1|Δu|2+(μ2R)/(cpc20)|ΔT'|2+μ3|Δq|2)dσdζ+
∫Ωp ~s((gζ)/(RT ~))2(ν1|(u)/(ζ)|2+ν2|(T')/(ζ)|2+
ν3|(q)/(ζ)|2)dσdζ+(∫Sp ~s((gζ)/(RT ~))2(f(|V10|)·
|u|2+T'2+q2)|ζ=1)dσ≤
C(‖Ψ1‖2L2(Ω)+‖Ψ2‖2L2(Ω)+‖Z‖2L2(Ω))+
C(M)∫t0‖Z‖2H1(Ω)dτ+C‖Z‖2H1(Ω)+
C(1+‖Z‖8L4(Ω)+‖Z‖4H1(Ω)+
‖Z‖2H1(Ω)‖Z‖2H2(Ω))(‖u‖2L2(Ω)+
‖T'‖2L2(Ω)+‖q‖2L2(Ω)).
对上式使用Gronwall不等式,即可证明式(14)成立.
4 定理证明
本章将利用Faedo-Galerkin方法来证明系统弱解的存在性,选取{λj}是空间H10(Ω)的完备正交基,设U~k=(uk,Tk,qk)是系统(12)的近似解,类似于文献[11-12], 则可得到近似解U~k=∑ki=1αi,k(t)λi,αik(t)∈L2loc(0,M; H1(Ω)),并且满足以下方程:
(U~k'(t),λj)p ~s-b(U~k(t),λi)-c(U~k(t),λi)-
e(U~k(t),λi)-(F,λi)p ~s=0,
U~k(0)=∑ki=1(U~0,λi)p ~sλi.
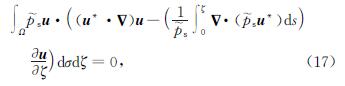
由引理1可知近似解序列U~k(t)存在子列,为了方便,子列仍用U~k(t)表示,并且满足U~k(t)∈L∞(0,M; L2(Ω))∩L2(0,M; H1(Ω)),易知U~k(t)在L∞(0,M; L2(Ω))中弱*收敛,在L2(0,M; H1(Ω))中弱收敛. 设U~为近似解序列的极限,只要证明U~k依L2(Ω)范数收敛到U~,即可证明U~也是系统的弱解. 下面证明U~k(t)的收敛问题,先给出以下引理.
引理2 设系统(12)~(13)的近似解序列为U~k,则U~k存在子列,子列仍用U~k表示,且满足
U~k→U~∈L2(0,M; L2(Ω)),(22)
和
|∫M0(B(U~k),φt)p ~sdt-∫M0(B(U~),φt)p ~sdt|→
0,(23)
其中,试验函数φ=(φ1,φ2,φ3)∈C∞(0,M; C∞0(Ω)),且满足φ(M,·)=0.
证明 利用式(12)与φ=(φ1,φ2,φ3)∈H20(Ω)作内积,可得
(D(U~k)(U~k),φ)p ~s=J1+J2+J3+
∫Ω(R∫1ζ(ΔT'k(s))/sds·p ~sφ1+R/ζ∫ζ0Δ·
[p ~s(uk+Z)]ds·φ2)dσdζ+
R∫Ω(Δp ~sT'kφ1-Δp ~s·(uk+Z)φ2)dσdζ-
∫ΩΔ((RT ~s)/(p ~s)∫10∫t0Δ·[p ~s(uk+Z)]dτdζ)·
p ~sφ1dσdζ,
其中
J1=∫Ω[(u*k+Z)·Δ](uk+Z)·p ~sφ1+
R/(c20)[(u*k+Z)·Δ]T'k·p ~sφ2+
[(u*k+Z)·Δ]qk·p ~sφ3dσdζ,
J2=-∫Ω(∫ζ0Δ·[p ~s(u*k+Z)]ds).
(((uk+Z))/(ζ)·φ1+(T'k)/(ζ)φ2+(qk)/(ζ)φ3)dσdζ,
J3=∫Ω[2ωcos θ+(cot θ)/r(ukλ+Zλ)]β(uk+Z)·
p ~sφ1dσdζ,
在下面的证明过程中,对于不含Z的项,可利用类似
参考文献[2]中引理4.2的证明方法得到,这里略去具体证明过程. 那么首先给出J1的先验估计
J1=∫Ω(u*k·Δ)uk·p ~sφ1dσdζ+∫Ω(u*k·Δ)Z·
p ~sφ1dσdζ+∫Ω(Z·Δ)uk·p ~sφ1dσdζ+
∫Ω(Z·Δ)Z·p ~sφ1dσdζ+R/(c20)∫Ω(u*k·Δ)T'k·
p ~sφ2dσdζ+R/(c20)∫Ω(Z·Δ)T'k·p ~sφ2dσdζ+
∫Ω(u*k·Δ)qk·p ~sφ3dσdζ+∫Ω(Z·Δ)qk·
p ~sφ3dσdζ,
下面以∫Ω(u*k·Δ)Z·p ~sφ1dσdζ为例,来处理包含Z的项.由Hölder不等式可得
∫Ω(u*k·Δ)Z·p ~sφ1dσdζ≤
C‖u*k‖H1(Ω)‖Z‖H1(Ω)‖φ1‖H1(Ω)≤
C‖U~k‖H1(Ω)+C,
同理可得
∫Ω(Z·Δ)Z·p ~sφ1dσdζ≤C,
∫Ω[(Z·Δ)uk·p ~sφ1+R/(c20)(Z·Δ)T'k·p ~sφ2+
(Z·Δ)qk·p ~sφ3]dσdζ≤
C‖U~k‖H1(Ω)‖φ‖H2(Ω)≤C‖U~k‖H1(Ω).
综合可得J1≤C+C‖U~k‖H1(Ω),又有
J2=-∫Ω∫ζ0Δ·(p ~su*k)ds((uk)/(ζ)·φ1+(T'k)/(ζ)φ2+
(qk)/(ζ)φ3)dσdζ-∫Ω∫ζ0Δ·(p ~sZ)ds((uk)/(ζ)·φ1+
(T'k)/(ζ)φ2+(qk)/(ζ)φ3)dσdζ-∫Ω∫ζ0Δ·(p ~su*k)ds(Z)/(ζ)·
φ1dσdζ-∫Ω∫ζ0Δ·(p ~sZ)ds(Z)/(ζ)·φ1dσdζ,
其中,由分部积分、Hölder不等式、Minkowski不等式和插值不等式可得
-∫Ω∫ζ0Δ·(p ~sZ)ds((uk)/(ζ)·φ1+(T'k)/(ζ)φ2+
(qk)/(ζ)φ3)dσdζ≤C‖Z‖H1(Ω)(∫Ω|U~k|3dσdζ)1/3
(‖φ‖L6(Ω)+‖φζ‖L6(Ω))≤
C‖U~k‖</sup>1/2</sub>H1(Ω)‖U~k‖</sup>1/2</sub>L2(Ω),
同理可得
-∫Ω∫ζ0Δ·(p ~su*k)ds(Z)/(ζ)·φ1dσdζ≤C+
C‖U~k‖H1(Ω),
-∫Ω∫ζ0Δ·(p ~sZ)ds(Z)/(ζ)·φ1dσdζ≤C,
因此J2≤C+C‖U~k‖</sup>3/2</sub>H1(Ω)‖U~k‖</sup>1/2</sub>L2(Ω)+C‖U~k‖</sup>1/2</sub>H1(Ω)‖U~k‖</sup>1/2</sub>L2(Ω)+C‖U~k‖H1(Ω),又有
J3=∫Ω(2ωcos θ+(cot θ)/rukλ)(ukθp ~sφ1λ-
ukλp ~sφ1θ)dσdζ+∫Ω(2ωcos θ+(cot θ)/rukλ)(Zθp ~sφ1λ-
Zλp ~sφ1θ)dσdζ+∫Ω(2ωcos θ+(cot θ)/rZλ)(ukθp ~sφ1λ-
ukλp ~sφ1θ)dσdζ+∫Ω(2ωcos θ+(cot θ)/rZλ)(Zθp ~sφ1λ-
Zλp ~sφ1θ)dσdζ,
其中,由Hölder不等式可得
∫Ω(2ωcos θ+(cot θ)/rukλ)(Zθp ~sφ1λ-Zλp ~sφ1θ)dσdζ≤
C(1+‖U~k‖L2(Ω))(‖Z‖L3(Ω)‖φ‖L6(Ω))≤
C(1+‖U~k‖L2(Ω)),
∫Ω(2ωcos θ+(cot θ)/rZλ)(ukθp ~sφ1λ-ukλp ~sφ1θ)dσdζ≤
C‖U~k‖L2(Ω),
∫Ω(2ωcos θ+(cot θ)/rZλ)(Zθp ~sφ1λ-Zλp ~sφ1θ)dσdζ≤
C.
这里,(Zθ,Zλ)是向量Z的分量,因此J3≤C+C‖U~k‖H1(Ω).
最后,由Hardy不等式和Hölder不等式可得
∫ΩR/ζ∫ζ0Δ·(p ~sZ)ds·φ2dσdζ≤C‖1/ζ∫ζ0Δ·
(p ~sZ)ds‖L2(Ω)‖φ‖L2(Ω)≤C‖Z‖H1(Ω)≤C,
-R∫ΩΔp ~s·(uk+Z)φ2dσdζ≤C‖(uk+
Z)‖L2(Ω)‖φ2‖L2(Ω)≤C+C‖U~k‖L2(Ω),
-∫ΩΔ((RT ~s)/(p ~s)∫10∫t0Δ·[p ~s(uk+Z)]dτdζ)·
p ~sφ1dσdζ≤C∫t0‖U~k‖H1(Ω)dτ+
C∫t0‖Z‖H1(Ω)dτ,
利用上述结论和
参考文献[2]引理4.2的证明方法可得
D(U~k)(U~k)∈L4/3(0,M; H-2(Ω)),E(U~k),
F∈L2(0,M; H-2(Ω)),
因此,由方程(12)1 可得U~kt∈L4/3(0,M; H-2(Ω)),再由U~k∈L2(0,M; H1(Ω))和Aubi-Lions引理可得U~k→U~∈L2(0,M; L2(Ω)),从而得到式(23)成立.
再借鉴文献[11-12]的证明思路,可得到系统(12)~(13)整体弱解的存在性,即定理2.1成立,这里不再给出具体证明过程.
接下来,证明系统(12)~(13)整体弱解的稳定性.
通过能量估计(14),可知弱解序列U~m满足一定的正则性条件,即
U~m∈L∞[0,M; L2(Ω)]∩L2[0,M; H1(Ω)],
采用类似文献[2]第4章的证明方法,当m→+∞,可得以下紧性框架:
‖U~m-U~‖L1(0,M; L1(Ω))→0,
|∫M0(B(U~m),φt)dt-∫M0(B(U~),φt)dt|→0,
|∫M0b(U~m,φ)dt-∫M0b(U~,φ)dt|→0,
|∫M0c(U~m,φ)dt-∫M0c(U~,φ)dt|→0,
|∫M0e(U~m,U~m,φ)dt-∫M0e(U~,U~,φ)dt|→0,
其中,试验函数φ=(φvθ,φvλ,φT,φq)=(φ1,φ2,φ3)∈C∞(0,M; C∞0(Ω)),且有φ(M,·)=0,而U~是系统(12)~(13)以U0为初值的弱解.
5 结 论
本文研究了
参考文献[1]中考虑地形因素和随机外强迫作用的大尺度湿大气动力学方程组初边值问题的适定性问题. 该方程组有以下特点:1)将大气的运动过程视为一个随机过程; 2)大气上界气压可以取0; 3)考虑了大气的可压缩因素; 4)采用了较为复杂的边界条件.其次,在引入随机因素后,增加了诸如非线性平流项[(u+Z)·Δ](u+Z)和1/(p ~s)∫ζ0Δ·[p ~s(u*+Z)]ds((u+Z))/(ζ)等的非线性程度,主要利用Hölder不等式、Minkowski不等式和插值不等式进行处理.最后,通过能量估计方法证明了方程组整体弱解的存在性,以及整体弱解的L1稳定性和几乎处处稳定性. 未来将在此基础上,进一步证明该大气动力学方程组初边值问题整体强解及吸引子的存在唯一性等.
- [1] 曾庆存.一个可供现代数学分析研究的气候动力学模型[J].大气科学,1998,22(4):408-417.
- [2] LIAN R X,ZENG Q C,JIN J B.Stability of weak solutions to climate dynamics model with effects of topography and non-constant external force[J].Science China Earth Sciences,2017,61(1):47-59.
- [3] GUO B L,HUANG D W.3D stochastic primitive equation of large-scale ocean:global well-posedness and attractors[J].Communication in Mathematical Physics,2009,286:697-723.
- [4] 郭柏灵,黄代文.大气、海洋无穷维动力系统[M].杭州:浙江科学技术出版社,2010.
- [5] 曾庆存.数值天气预报数学物理基础[M].北京:科学出版社,1979.
- [6] LIONS J L,TEMAM R L,WANG S H.New formulations of the primitive equations of atmosphere and applications[J].Nonlinearity,1992,5:237-288.
- [7] LIONS J L,TEMAM R L,WANG S H.Models of the coupled atmosphere and ocean(CAO I)[J].Computational Mathematics Advance,1993,1:5-54.
- [8] LIONS J L,TEMAM R L,WANG S H.Numerical analysis of the coupled atmosphere and ocean model(CAO Ⅱ)[J].Computational Mathematics Advance,1993,1:55-119.
- [9] LIONS J L,TEMAM R L,WANG S H.Mathematical theory for the coupled atmosphere-ocean models(CAO Ⅲ)[J].Journal de Mathématiques Pures et Appliqués,1995,74:105-163.
- [10] WU Y H,MU M,ZENG Q C,et al.Weak solutions to a model of climate dynamiscs[J].Nonlinear Analysis:Real World Applications,2001,2(4):507-521.
- [11] 黄海洋,郭柏灵.大尺度大气方程组解和吸引子的存在性[J].中国科学 D辑:地球科学,2006,36(4):392-400.
- [12] 黄海洋,郭柏灵.复杂地形情况下大气动态模型的弱解和吸引子的存在性[J].数学物理学报,2007,27A(6):1098-1110.
- [13] CAO C S,TITI E S.Global well-posedness of the three-dimensional viscous primitive equations of large-scale ocean and atmosphere dynamics[J].Annals of Mathematics,2007,166:245-267.
- [14] LIAN R X,ZENG Q C.Existence of a strong solution and trajectory attractor for a climate dynamics model with topography effects[J].Journal of Mathematical Analysis and Applications,2018,458(1):628-675.
- [15] 黄代文,郭柏灵.大气方程组的整体吸引子的存在性[J].中国科学 D辑:地球科学,2007,37(8):1088-1100.
- [16] GUO B L,HUANG D W.Existence of weak solutions and trajectory attractors for the mosit atmospheric in geophysics[J].Journal of Mathematical Physics,2006,47:083508.
- [17] GUO B L,HUANG D W.Existence of the universal attractor for the 3D viscous primitive equations of large-scale moist atmosphere[J].Journal of Differential Equa-tions,2011,251(3):457-491.
- [18] ZELATI M C,HUANG A M,KUKAVICA I,et al.The primitive equations of the atmosphere in presence of vapor saturation[J].Nonlinearity,2014,28(3):625.
- [19] 王安吉,连汝续,黄兰.大尺度湿大气方程组整体弱解的存在性和稳定性[J].河南教育学院学报(自然科学版),2019,28(4):1-11.
- [20] LIAN R X,MA J Q.Existence of a strong solution to moist atmospheric equations with the effects of topography[J].Boundary Value Problems,2020,103:1-34.
- [21] GUO B L,ZHOU G L.Finite dimensionality of global attractor for the solutions to 3D viscous primitive equations of large-scale moist atmosphere[J].Discrete and Continuous Dynamical Systems B,2018,23(10):4035-4027.
- [22] ZHOU G L,GUO B L.The global attractor for 3D viscous primitive equations of large-scale moist atmosphere[J].Communication in Mathematical Sciences,2018,16(7):2003-2032.
- [23] HASSELMANN K.Stochastic climate models.Part Ⅰ:Theory[J].Tellus,1976,28:473-485.
- [24] FRANKINGNOUL C,HASSELMANN K.Stochastic climate models Ⅱ:application to sea-surface temperature anomalies and thermocline variability[M].Tellus,1997,29:289-305.
- [25] 李麦村,黄嘉佑.关于海温准三年及准半年周期振荡的随机气候模式[J].气象学报,1984,42:168-176.
- [26] GRIFFIES S M,TZIPERMAN E.A linear themohaline oscillator driven by stochastic atmospheric forcing[J].Journal of Climate,1995,8(10):2440-2453.
- [27] MAJDA A,TIMOFEYEV I,VANDEN-EIJNDEN E.A mathematical framework for stochastic climate models[J].Communications on Pure and Applied Mathematics,2001,54(8):891-794.
- [28] MAJDA A,WANG X.The emergence of large-scale coherent structure under small-scale random bombardments[J].Communications on Pure and Applied Mathematics,2001,59:467-500.
- [29] MAJDA A,TIMOFEYEV I,VANDEN-EIJNDEN E.A prior test of a stochastic model reduction strategy[J].Physica D,2002,170:206-252.
- [30] MAJDA A,TIMOFEYEV I,VANDEN-EIJNDEN E.Systematic strategies for stochastic model reduction in climate[J].Journal of the Atmospheric Sciences,2003,60(14):1705-1722.
- [31] DONG Z,ZHAI J L,ZHANG R R.Expontial mixing for 3D stochastic primitive equations[EB/OL].[2021-01-02].https:∥arxiv.org/abs/1506.08514v3.