基金项目:国家自然科学基金青年科学基金(51601068); 福建省自然科学基金(2016J05129)
通信作者:maoxingyu@jmu.edu.cn
(1.集美大学理学院,福建 厦门 361021; 2.阿姆斯特丹大学范德瓦斯-塞曼学院,荷兰 阿姆斯特丹 1098XH)
(1.School of Science,Jimei University,Xiamen 361021,China; 2.Van der Waals-Zeeman Institute,University of Amsterdam,Amsterdam 1098XH,Netherland)
Dirac semimetal; Bi1-xSbx alloy; quantum oscillation; transport properties
DOI: 10.6043/j.issn.0438-0479.201809026
铋锑(Bi1-xSbx)合金在拓扑绝缘体的研究中具有重要的意义,Bi0.96Sb0.04单晶体的体电子具有类似狄拉克锥型的电子结构,具有特别的研究价值.通过对Bi0.96Sb0.04单晶体输运性质的测量发现其电阻率在温度高于120 K呈现出类半导体材料的性质,而在低于120 K 呈现出类金属材料的性质.外加磁场后,其输运性质在低温和低场时观察到明显的弱反局域化特点.样品的磁电阻在高场下表现出了舒勃尼科夫-德哈斯(Shubnikov de Hass, SdH)振荡,且这一量子振荡在样品的霍尔电阻上表现得更加清晰,霍尔效应和量子振荡实验数据推算的载流子迁移率相互吻合.通过旋转被测样品在磁场中的角度,可以推测出输运过程主要由体电子承担,并得到费米面的大致形状近似为长短轴之比约为1.36:1的椭球面.
The Bi1-xSbx alloy bears special significance in topological insulator research.This paper reports transport properties of Bi0.96Sb0.04 alloy.Here we focus on Bi0.96Sb0.04 single crystal in which the conduction band and the valence band are joined, displaying the Dirac electronic structure.Measurements of it's transport characteristics show that,in terms of the resistance,Bi0.96Sb0.04 alloy behaves like the semiconductor below 120 K and like the metallic above 120 K.In very low temperatures under weak magnetic fields,the resistance shows weak anti-localization(WAL)characters.Under high magnetic fields,the Shubnikov de Haas(SdH)oscillation in magneto-resistance is observed,and even better shaped SdH-like oscillation in its Hall resistance is observed.Further analyses show that the quantum oscillation in transport measurements originates from bulk electrons.By analyzing the detail of SdH oscillations along with the rotating of the sample in the magnetic field,we perceive a rough picture of its Fermi surface which is an ellipsoid with a ratio of approximately 1.36:1.
自2004年石墨烯成功制备以来,石墨烯中狄拉克电子优异的输运性质使其迅速成为了凝聚态物理及其相关领域的研究热点,同时也使具有狄拉克电子的材料受到了物理学界的广泛关注.对石墨烯的研究揭示出大量新的物理现象和新的应用前景[1],目前石墨烯己经在光电检测、太阳能电池、等离激元和超快激光等诸多领域展现出了极高的应用价值[2-3].然而,受限于二维材料天然的超薄结构,石墨烯不可避免地具有制备困难、易受外界电磁环境干扰、缺乏可操控的物理空间等缺点.因此,学术界在积极探索类石墨烯的二维材料的同时,也将研究零带隙、线性能量色散关系的电子能带结构从二维拓展到三维动量空间,形成所谓“三维石墨烯”材料,即三维狄拉克半金属.三维狄拉克半金属区别于二维的石墨烯,其线性的能量动量色散关系是三维的,更易于应用和推广.事实上最近几年对多种三维狄拉克半金属的研究在凝聚态物理学界备受关注,如Na3Bi,SrSb2,Cd3As2等[4-6],尤其是对Cd3As2的研究已经取得了许多重要的成果.
三维狄拉克半金属除三维动量空间中的狄拉克锥外,另一个特点是其电子结构的拓扑非平庸性.这类拓扑非平庸材料还包括拓扑绝缘体、外尔(Weyl)半金属等,对这几类拓扑量子材料的物性研究是最近10年来凝聚态物理学的重要前沿研究方向[7-8].Bi1-xSbx合金作为第一个被实验证实的三维拓扑绝缘体[9-10],近年来在拓扑绝缘体方面受到了广泛的重视.研究表明,Bi1-xSbx合金的能带结构随着两种元素组分的不同而发生变化[11-12],当x取值在7%至22%之间时,其La带与Ls带处于能带反转并具有一定的能隙,这时其体电子态为绝缘体,而表面电子态为导体,且受时间反演对称性保护,即成为拓扑绝缘体[13-15].随着研究的不断深入,Bi2Se3、Bi2Te3 、Sb2Te3、BiSbTeSe2等新的拓扑绝缘体也相继被发现[16-18].Bi1-xSbx合金的能带结构由于x可变而比较复杂,但却包含更丰富的物理性质,当x=0.04时,其导带Ls底部恰好与价带La接触,形成能带中具有狄拉克锥的半金属[11],并且在狄拉克点处可以进一步通过组分变化打开拓扑非平庸的带隙,因此Bi0.96Sb0.04合金与Cd3As2等具有相似的能带结构,同样为三维狄拉克半金属,对x=0.04 的铋锑合金的输运性质研究也是研究三维固体中狄拉克费米子性质的一条重要途径.近年来,科学家们进一步希望从三维狄拉克半金属出发,通过对其掺杂或施加外场等手段来调节其物理参数,从而获得新的物质相,如拓扑绝缘体、拓扑超导体等[19-20]; 也有研究人员期望通过使Bi0.96Sb0.04的狄拉克锥分离为具有手性的Weyl点来研究Weyl费米子的性质[21].因此对Bi0.96Sb0.04合金单晶体的电子输运性质的研究,具有比较重要的意义,而目前对这一组分的铋锑合金的研究成果相对较少,本研究希望通过对其输运性质的测量和数据分析,为Bi1-xSbx合金及狄拉克半金属的进一步研究提供参考.
Bi0.96Sb0.04合金单晶体的制备选用纯度为99.999%的Bi块材和纯度为99.999 9%的Sb块材,将它们按组分比96:4封装到石英管里,抽真空至4×10-5 Pa,先在箱式炉中加热到600 ℃,保温12 h,并多次摇晃均匀,之后快速冷却到室温.再将其放入布里奇曼晶体炉中进行晶体生长,炉温控制在300~400 ℃,炉体下降速率控制在1 mm/h.对结晶体进行机械剥离后获得Bi0.96Sb0.04单晶体.
Bi0.96Sb0.04合金单晶体的电导性质、磁电阻、霍尔电阻由美国Quantum Design公司的综合物性测量系统 PPMS DynaCool测量获得,Bi0.96Sb0.04单晶样品的物理尺寸为6.1 mm×2.8 mm×1.5 mm,用德国Smart Quest 单晶X射线衍射仪对样品进行定向,测量触点用银浆点焊在Bi0.96Sb0.04合金单晶体的[111]晶面上,采用纵向四点法测量基本的导电性质,如图1所示.图中1,2为恒流源输入输出,3,4接电压表测量纵向电压从而得到纵向电阻Rxx,另在[111]晶面的横向点焊两点5,6测量霍尔电压从而得到霍尔电阻Rxy(横向电阻).PPMS DynaCool内置超导磁场变化范围-9~9 T,温度变化范围2~300 K.
输运参数随外部条件的变化一方面能反映出材料的应用领域,同时也能更深刻地揭示材料内部的物理性质.通过调节温度和扫描磁场,本研究测量了不同温度下磁场变化对样品导电性质的影响,对样品的Rxx(纵向电阻)及霍尔电阻Rxy(横向电阻)随温度和磁场强度的变化情况进行了测量.在测量Rxx过程中当银焊点没有处在相同电流线上时,两焊点间由于霍尔效应会带来Rxx误差,所以在测量时磁场的变化是从+8.8 T变化到-8.8 T,利用正负磁场下数据的对称性,作图时消除这部分误差.这一数据误差消除过程也同样应用于Rxy的测量数据,并推算相应的载流子浓度和迁移率.
图2是Bi0.96Sb0.04合金单晶体的基本电子输运性质的测量结果,包括电阻随温度的变化情况、纵向磁电阻随外加磁场的变化情况及不同温度下样品的载流子浓度及迁移率.
电阻率是材料输运性质的最基本参量.图2(a)显示了Bi0.96Sb0.04合金单晶体的电阻率ρ在没有外加磁场(B=0 T)时随温度的变化情况.可以看到,当温度不低于120 K时,样品呈现出类半导体性质,在温度低于120 K时呈现出金属性.
图2(b)为样品归一化后的Rxx(即(Rxx-R0)/(R0),其中R0为H=0时的纵向电阻值)随外磁场的变化曲线,反映出在温度低于140 K时载流子具有的反弱局域化特点,即电阻率在低温下随磁场增加而表现出的快速上升过程.当温度不低于140 K后,反弱局域化特点消失.另外,样品的Rxx随磁场的增加而线性增加,即表现出不饱和线性磁电阻性质[22-23].对这一现象的解释目前仍然处于争论中,是一个极具挑战性的课题.依据本研究的结果,这可能是由于磁场作用下,两种自旋的狄拉克电子分离为Weyl电子后带来的效应.
实验中根据对Bi0.96Sb0.04合金单晶体磁电阻及霍尔电阻的测量结果,推算出其导电载流子浓度和载流子迁移率μ,结果如图2(c)所示.由于180至220 K的数据因载流子由电子转为空穴带来较大误差而舍去.可以看到,低温下样品的载流子浓度约为2×1024 m-3,当温度升至180~220 K区间时,载流子符号由正变到负,即载流子从低温时的电子转变为空穴,这个温度区间里载流子浓度变化快,有很大不确定性.同时也可以看到,温度越低时μ越高,温度为2 K时μ最大,为1.7 m2/(V·s),随着温度的升高μ逐渐减小,这与传统的半金属的表现相符合.
图2 Bi0.96Sb0.04的基本输运性质
Fig.2 The basic transport properties of Bi0.96Sb0.04
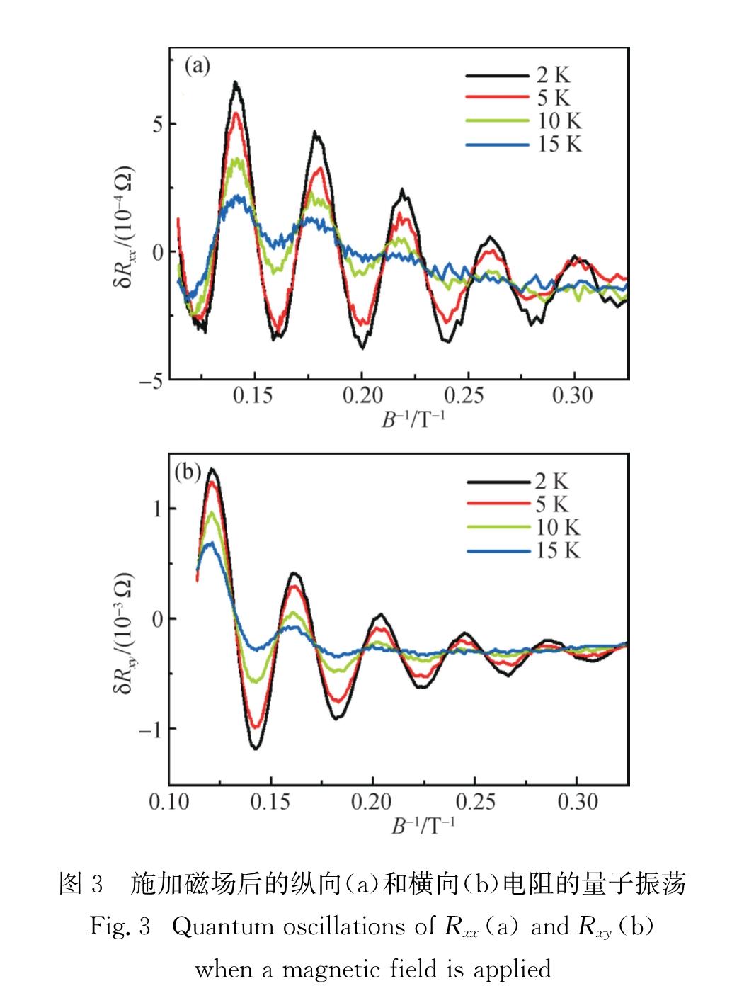
观察图2(b)中温度低于20 K时的磁电阻曲线,可以看到磁电阻除了随外加磁场增加而增加外,还呈现出随外磁场振荡的情况.对温度分别为2,5,10,15和20 K的磁电阻曲线进行数据分析得到拟合纵向电阻值Rxx,删去曲线中的平滑部分,把Rxx随磁场振荡的部分(δRxx,δRxx=R'xx-Rxx)提取出来,可以清晰地观察到SdH振荡现象.图3(a)为δRxx的量子振荡,利用快速傅里叶分析,得到了量子振荡周期为(0.050±0.005)T-1.在外加磁场时,原来自由电子的能带将形成分离的高度简并的朗道能级,电子将集聚在相近能量的能级上,朗道能级之间的能量差随外磁场的增加而增加.当磁场逐渐增大时,朗道能级会依次扫过费米能,而每当一个朗道能级扫过费米能时,都提供了大量的电子参与导电,从而使电导增加且电阻下降,而能级扫过费米能后,能参与导电的电子数目下降,从而带来电阻的增加,显现出SdH振荡,呈现出周期性.
除纵向磁电阻Rxx表现出SdH振荡性外,横向的霍尔电阻Rxy也表现出量子振荡现象,如图3(b)所示.图中可以看到,霍尔电阻的SdH振荡表现得更加清晰,幅度也更大,通过快速傅里叶分析得到的δRxy的振荡周期与通过磁电阻的SdH振荡分析得到的周期相同.虽然在已发表的文献中提到SdH振荡的多为δRxx,而提到δRxy量子振荡的文献很少,但它们的起源是一样的,仔细观察图3(a)与(b)不难发现,δRxx与δRxy的振荡相位正好相反,即δRxx上升时,Rxy下降.这是符合常识的,因为Rxx的下降,就是纵向电导的增加,而纵向电导的增加,使纵向电流增加也就导致霍尔电压上升,即Rxy变大,所以Rxx与Rxy两者的振荡是反相的.
图3 施加磁场后的纵向(a)和横向(b)电阻的量子振荡
Fig.3 Quantum oscillations of Rxx(a)and Rxy(b)when a magnetic field is applied
根据Lifshitz-Kosevich理论[24],对量子振荡的数据按下式进行拟合:
(δRxx)/(Rxx)∝B1/2exp(-αTDm*/B)(αTm*/B)/(sin h(αTm*/B)).(1)
其中:B为磁感应强度; m*为有效质量; h为普朗克常数; TD为丁格温度(Dingle temperature); α=2π2kB,kB为玻尔兹曼常数.拟合结果如图4所示.
图4 根据Lifshitz-Kosevich 理论拟合的SdH振荡曲线
Fig.4 The SdH oscillations fitted by the Lifshitz-Kosevich theory
根据式(1)进行拟合,由δRxx/Rxx-T曲线(图4(a))的系数求解出载流子的有效质量m*.计算结果表明,m*基本不随磁场的增加而改变,大致维持在0.1me,其中me是电子的静止质量.根据朗道能级间隔公式ΔE=heB/(2πm*)可知,由于m*基本不变,ΔE主要随外磁场的增加而线性增加.
图4(b)给出了温度分别为2, 5和10 K时对式(1)指数部分的拟合,并计算出TD,其平均值为1.38 K.由TD与载流子散射弛豫时间τ的关系为TD=h/(4π2kτ),得到平均散射弛豫时间 τ=8.81×10-13 s.进一步计算出载流子的迁移率μ=1.52 m2/(V·s).这一结果与本研究前面分析样品霍尔电阻时得到的结果基本一致,参见图2(c).另外,从图4(c)中可以看到,朗道能级指数n与磁感强度的倒数呈非常好的线性关系,与理论一致,这也表明SdH振荡数据的测量是比较准确的.
拓扑绝缘体的特征表现为体内为绝缘体,表面为导体,导电主要靠表面态电子.Bi0.96Sb0.04是三维的狄拉克半金属,体能带结构中有狄拉克电子,狄拉克半金属的表面态由两个手性相反的费米弧组成[5,25],并受能带的拓扑保护,这种奇异的表面态既等同于拓扑绝缘体表面的二维狄拉克锥,也等同于Weyl半金属表面的开放费米弧.厘清体电子和表面电子对Bi0.96Sb0.04单晶体输运性质测量中导电的贡献和对SdH振荡的贡献,对理解Bi1-xSbx合金的电子结构和组分对拓扑绝缘体的形成都具有重要的意义.换句话说,如果能说明Bi0.96Sb0.04单晶体导电主要是体内电子的贡献,则可以印证仅当x=0.04时Bi1-xSbx合金不是拓扑绝缘体,而是狄拉克半金属; 而非0.07~0.22之间时.通过量子振荡频率随磁场方向的变化情况讨论表面态电子和体电子对的输运的贡献,对理解三维狄拉克半金属具有重要的意义.
由于只有在很低温度下才能观察到SdH振荡,所以本研究把测量温度设定为3 K.实验中通过旋转样品架来调整样品表面与外磁场之间的角度θ,从而测量出磁电阻随角度的变化关系,并对观察到的SdH振荡现象进行讨论,分析体电子还是表面电子的作用,如图5所示.
图5(a)显示的是不同θ时磁电阻随磁场的变化关系(θ为磁场与样品[111]面的夹角,i为电流强度,电流方向与[111]面平行).从图中可以看到,B的角度θ从0°变到90°过程中,Rxx随磁场的变化不一样,θ越大,变化率越小.图5(a)中插图显示了磁感应强度为8.8 T时磁电阻与角度θ的关系,表明当磁场固定在某个值时,样品[111]面与磁场的夹角不同,则对应的Rxx差别明显.如果只看图5(a)中Rxx曲线形状,由于当测量的样品厚度远小于其宽度和长度时(即二维材料),即使是体电子参与导电也自然会表现出相似的变化规律,往往会误认为是二维即表面电子在从事电导并表现出SdH振荡.要判断出是体电子导电还是表面电子导电,分析其SdH振荡情况将更为可靠.故本研究测量了不同角度下Rxx的SdH振荡曲线,如图5(b)所示.图中可以看到,角度θ越小,Rxx的SdH振荡也越清晰,能测量到的振荡曲线长度也越长,但是SdH振荡的振幅却没有随着角度θ的增加而消失.通过快速傅里叶转换,得到SdH振荡周期随角度θ的变化关系,如图5(c)所示.从图中的曲线是理论上二维电子气SdH振荡周期随角度变化的曲线,离散点为根据实验数据计算出的SdH振荡周期随角度的变化结果,两者呈现分离的趋势,这也表明,参与导电和SdH振荡的电子不是二维的表面电子,而应该是体电子的贡献.由于狄拉克半金属体态本身就是迁移率极高的狄拉克费米子系统,极高的体电导淹没了表面态的表现,这样也使得通过量子输运探寻拓扑表面态极具困难.
图5 外加磁场与样品表面呈不同角度时的SdH振荡情况
Fig.5 The SdH oscillations of Rxx when magnetic field appied at various angles to the sample's surface
另外,根据公式f=Ah/(4π2e),其中f是SdH振荡频率,A是垂直于磁场方向的费米面极值截面积.可以通过测量到的SdH振荡频率算出在与磁场方向垂直的费米面的极值截面积,从图5(c)中可以看到θ从0°变到90°过程中,磁场方向从垂直于样品[111]晶面方向到平行于[111]晶面方向,SdH的振荡周期由0.050 T-1向0.027 T-1趋近,可以大致得到对应的费米面极值面积分别是 1.8×1016 m-2和3.33×1016 m-2,进一步计算出这2个方向上费米波矢分别是0.76×108 m-1和1.03×108 m-1,这也给出了Bi0.96Sb0.04单晶体费米面的大致图像,考虑到[111]晶面方向上的三重旋转对称,如果把费米面近似为一个椭球面的话,则其长短轴之比约为1.36:1.
通过对Bi0.96Sb0.04单晶体输运性质的研究表明,其电阻率在温度高于120 K时呈现出类半导体材料的性质,而在低于120 K时呈现出类金属材料的性质.通过外加磁场,其输运性质在低温和低场时观察到明显的弱反局域化(WAL)特点.样品的磁电阻和霍尔电阻在高场下都表现出了SdH振荡,且霍尔电阻上SdH振荡表现得更加清晰.从霍尔效应和量子振荡实验数据推算的载流子迁移率分别是1.7 m2/(V·s)和1.52 m2/(V·s),能够相互吻合.通过旋转被测样品在磁场中的角度,可以推测出输运过程由体电子承担,并得到费米面的大致形状为长短轴之比约为1.36:1 的椭球面.
致谢:在写作过程中,荷兰阿姆斯特丹大学物理系的Anne de Visser教授多次给予指导,且所用的Bi0.96Sb0.04单晶体由阿姆斯特丹大学范德瓦尔斯-塞曼学院Yingkai Huang教授制备、晶面定向和解理,在此深表感谢.