< br/>通信作者:yizhao@xmu.edu.cn < br/>
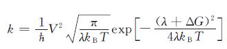
以非富勒烯为受体的有机太阳能电池中,给体和受体分子可同时吸收可见光并各自产生光诱导的激子,这些激子的解离是决定太阳能电池效率的关键因素之一.因此,选取HXSC12分子为电子给体,6种具有不同侧基的1,8-萘酰亚胺小分子作为电子受体,利用Marcus公式和电子结构计算研究了给体和受体分子上激子在其构成界面上的解离过程,着重分析了受体分子侧基对两种激子的解离速率的影响.结果发现,给体和受体分子的吸收光频率互补,且对于效率较高的体系组合中两种分子上的激子解离速率基本具有相同量级,表明给体和受体在收集太阳能方面具有同等重要的作用.在受体中引入吸电子侧基后,可使得受体吸光强度增加,同时增加了给体-受体界面上激子解离的耦合强度和驱动力从而明显提高激子解离速率; 而引入给电子侧基后,受体吸光强度明显降低,也降低了激子解离的耦合强度,导致激子解离速率降低.该计算结果与实验观测一致,可为制备高效的有机太阳能电池提供新思路.
For non-fullerene organic solar cells,both electron donor and acceptor can absorb visible sunlight and thus generate photo-induced excitons,which is one of the key factors that influence the efficiency of organic solar cells.In this article,two kinds of exciton dissociation rates,which correspond to the excitons generated from donor(ED1)and acceptor(ED2),respectively,at the interfaces of organic solar cells were calculated for electron donor molecule HXSC12 and six kinds of 1,8-naphthalimides-based electron acceptor molecules by Marcus formula and electronic structure computation. This article is focused on the effect of side group on exciton dissociation rate.The results indicate that the absorption frequencies of HXSC12 and electron acceptors complement each other.Meanwhile,the dissociation rates of excitons from both ED1 and ED2 are almost in the same order of magnitude for the systems with high energy conversion efficiency,which means that electron donor and acceptor have the same impact on the collection of solar energy.If an electron-withdrawing side group is introduced into the backbone of electron acceptor,the intensity of the maximum absorption peak will increase,and the dissociation rate of excitons at the donor-acceptor interface will also increase because of greater coupling strength and driving force.However,the introducing of electron-donating side group to the acceptor will cause a decrease in the intensity of the maximum absorption peak and coupling strength,which results in a slower exciton dissociation rate.The results of this article are consistent with those of experiments and provide new insights in the preparation of high efficiency organic solar cells.







